Yttrium oxyde
(2846.90.210)
Taiyou Technology Co.Ltd | |
|---|---|
Analytische Chemie(Chemcial Analysis) & Testing List | |
| Name: Yttrium oxyde (Yttrium Oxide)99.995% |
| Main Content | TREO(wt%, Min) 99.01 |
| Y2O3/TREO(wt%, Min) >99.9 | |
| Item | Result(%) |
| RE impurities(%, Max) | |
| Gd2O3 | <0.05 |
| Eu2O3 | <0.05 |
| Dy2O3 | <0.05 |
| Ho2O3 | <0.05 |
| Tb4O7 | <0.05 |
| Non-RE impurities(%, Max) | |
| Fe2O3 | 0.018 |
| CaO | 0.024 |
| Cl- | 0.076 |
Publié parTAIYOU TECHNOLOGY CO., LTD.
L'oxyde de cérium
| (HS code:2846.10010) |
![]() |

Publié parTAIYOU TECHNOLOGY CO., LTD.
Néodyme oxyde
| (Neodymium Oxide) |

Publié parTAIYOU TECHNOLOGY CO., LTD.
Praséodyme oxyde
| (Praseodymium Oxide) |
![]() |

Publié parTAIYOU TECHNOLOGY CO., LTD.
Scandium oxyde
| (Scandium Oxide) |
Detailed Product Description
Scandium Oxide
Formula Sc2O3
CAS No. 12060-08-1
Molecular Weight 137.91
Appearance White
Solubility Insoluble in water, moderately soluble in strong mineral acids
Stability Slightly hygroscopic
Scandium oxide, also called Scandia, is suitable for the high index component of UV, AR and bandpass coatings due to its high index value, transparency, and layer hardness make high damage thresholds have been reported for combinations with silicon dioxide or magnesium fluoride for use in AR.
Publié parTAIYOU TECHNOLOGY CO., LTD.
Erbium oxyde
(Erbium Oxide)
Taiyou Technology Co.Ltd | |
|---|---|
Chemcial Analysis & Testing List | |
| Name:Erbium oxyde(99.5%) | |
| Erbium Oxide (99.5%) | |
Main Content | TREO(wt%, Min) >99.02 |
| Er2O3/TREO(wt%, Min) 99.55 | |
Item | Result(%) |
| RE impurities(%, Max) | |
| La2O3 | 0.13 |
| CeO2 | 0.01 |
| Pr6O11 | 0.01 |
| Nd2O3 | <0.01 |
| Sm2O3 | <0.01 |
| Y2O3 | 0.01 |
| Gd2O3 | <0.01 |
| Eu2O3 | <0.01 |
| Dy2O3 | <0.01 |
| Ho2O3 | 0.02 |
| Non-RE impurities(%, Max) | |
| L.O.I | 0.24 |
| Cl- | 0.1 |
| SiO2 | 0.015 |
| Fe2O3 | 0.008 |
| CaO | 0.09 |
Publié parTAIYOU TECHNOLOGY CO., LTD.
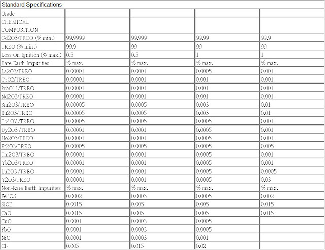
Gadolinium oxyde
| (Gadolinium Oxide) |
Detailed Product Description
Gadolinium Oxide
Formula Gd2O3
CAS No. 12064-62-9
Molecular Weight 362.50
Appearance White
Solubility Insoluble in water, moderately soluble in strong mineral acids
Stability Slightly hygroscopic .
Gadolinium Oxide, also called Gadolinia, is used for making optical glass and gadolinium yttrium garnets which have microwave applications. High purity of Gadolinium Oxide is used for making phosphors for colour TV tube.
Publié parTAIYOU TECHNOLOGY CO., LTD.
Inscription à :
Commentaires (Atom)

